
化学化工扑克游戏 分析化学教研室编
2022年3月
目 录
第一章 分析化学实验中的基本操作技术
第二章 分析化学实验
实验一 滴定分析基本操作练习
实验二 食醋中醋酸含量的测定
实验三 工业纯碱中总碱度测定(酸碱滴定法)
实验四 水样的总硬度的测定(络合滴定法)
实验五 铅、铋混合液中铅、铋含量的连续滴定(络合滴定法)
实验六 过氧化氢含量的测定(高锰酸钾法)
实验七 注射液中葡萄糖含量的测定(碘量法)
实验八 可溶性氯化物中氯含量的测定(莫尔法)
实验九 考试实验
第一章 分析化学实验中的基本操作技术
1.1 分析化学中所用玻璃仪器的洗涤
1.1.1滴定分析中的常用玻璃仪器
在分析化学的基本滴定操作中,常使用的玻璃仪器主要是滴定管、锥形瓶、容量瓶和移液管或吸量管,另外天平称量中用到称量瓶,还经常使用烧杯和量筒。下面分别加以介绍。
1.普通玻璃仪器
烧杯、量筒或量杯、称量瓶、锥形瓶
烧杯主要用于配制溶液、溶解试样,也可作为较大量试剂的反应器。有些烧杯带有刻度,其可置于石棉网上加热,但不允许干烧。常用烧杯有10mL、15mL、25mL、50mL、100mL、250mL、的称量。
锥形瓶是纵剖面为三角形的滴定反应器。口小、底大,有利于滴定过程中振摇充分,反应充分而液体不易溅出。锥形瓶可在石棉网上加热,一般在常量分析中所用的规格为250mL, 是滴定分析中必不可少的玻璃仪器。
在碘量法滴定分析中常用一种带磨口塞、水封槽的特殊锥形瓶,称碘量瓶(图1-2)。使用碘量瓶可减小碘的挥发而引起的测定误差。

2.容量分析仪器
滴定管、容量瓶、移液管和吸量管是滴定分析中准确测量溶液体积的容量分析仪器。溶液体积测量准确与否将直接影响滴定结果的准确度。通常体积测量的相对误差比天平称量要大,而滴定分析结果的准确度是由误差最大的因素决定的,因此,准确测量溶液体积显得尤为重要。
在滴定分析中,容量分析仪器分为量入式和量出式两种。常见的量入式容量分析仪器(标有In)有容量瓶,用于测量容器中所容纳的液体体积,该体积称为标称体积;常见的量出式容量分析仪器(标有Ex)有滴定管、移液管和吸量管,用于测量从容器中排(放)出的液体体积,称为标称容量。
1)滴定管
滴定管是管身细长、内径均匀、刻有均匀刻度线的玻璃管,管的下端有一玻璃尖嘴(图1-3),通过玻璃旋塞或乳胶管连接,用以控制液体流出滴定管的速度。常量分析所用的滴定管有25mL、50mL两种规格;半微量分析和微量分析中所用的滴定管有10mL,5mL、2mL、1mL等规格,本书介绍的滴定管的标称容量为50mL,其最小刻度为0.1mL,读数时可估计到0.01mL。
滴定管有酸式滴定管和碱式滴定管两种。酸式滴定管下端有玻璃旋塞,用于装酸性溶液和氧化性溶液,不宜装碱性溶液(为什么?)。碱式滴定管下端连接一段乳胶管,管内有一粒大小合适的玻璃珠,以控制溶液的流出,遇长时间不用碱式滴定管会导致乳胶管老化,弹性下降,需及时更换乳胶管,乳胶管下端连接一尖嘴玻璃管。碱式滴定管只能装碱性溶液,不能装酸性或氧化性溶液,以免乳胶管被腐蚀。

2)移液管和吸量管
移液管和吸量管是用于准确移取一定体积液体的量出式容量分析仪器,如图1-4所示。移液管中间部分膨大,管颈上部有一环形刻线,膨大部分标有容积、温度、Ex、“快”或“吹”等字样,俗称大肚移液管,正规名称为“单标线吸量管”。常用的移液管有5mL、10mL、25mL、50mL等规格。其精密度一般高于“分刻度吸量管”。
吸量管具有分刻度,正规名称为“分刻度吸量管”。管上同样标有容积、温度等字样。吸量管常用于移取所需的不同体积,常用有1mL、2mL、5mL、10mL等规格。

移液管和吸量管分“快流式”和“吹式”两种。前者管上标有“快”字样,在标明温度下,调节溶液凹液面与刻线相切,再让溶液自然流出,并让移液管尖嘴在接受溶液的容器内壁靠15s左右,则溶液体积为管上所标示的容积。这时我们会发现移液管和吸量管的尖嘴还留有少量溶液,不必将此残留溶液吹出,因为少量溶液已在仪器校正过程中得以校正。而后者正好相反,管上标有“吹”字样,使用时需要将最后残留在尖嘴的少量溶液全部吹出。注意用移液管或者吸量管移取溶液时,必须有“绕内壁转三圈”和“自转三圈”的操作,将在其使用操作中介绍。
移液管和吸量管均属精密容量仪器,不得放在烘箱中加热烘烤。
3)容量瓶
容量瓶是一种细颈梨形的平底玻璃瓶,常带有磨口塞或塑料塞。颈上有标线,瓶上标有容积、温度、In等字样,表示容量瓶是量入式容量分析仪器,在标明温度下,当溶液凹液面下沿与标线相切时,溶液体积与标示体积相等。容量瓶一般用来配制标准溶液、试样溶液和定量稀释溶液。常用的容量瓶有5mL、10mL、25mL、50mL、100mL、250mL、500mL等规格(图1-5)。
容量瓶主要用于配制准确浓度的标准溶液或逐级稀释标准溶液,常和移液管配合使用,可将配成溶液的物质分成若干等分。但不能长久储存溶液,尤其是碱性溶液,不然会导致磨口瓶塞无法打开。

1.1.2常用玻璃器皿的洗涤
在进行化学实验之前,洗涤玻璃仪器是一项最基本的操作,由于定量分析用仪器清洗的洁净程度直接关系测定结果的准确度和精密度,因此不同实验要求对玻璃仪器的洁净程度要求也不一样。在分析化学实验中,常用的毛刷刷洗和用去污粉刷洗的操作并不推荐出现在分析化学的洗涤操作中,如玻璃器皿的内壁玷污严重,一般多为采用铬酸洗液浸泡的方式完成玻璃仪器的洗涤,具体操作如下:
(1)取实验室用铬酸洗液试剂瓶(组成:重铬酸钾和浓硫酸),(注意:铬酸洗液腐蚀性极强,使用时必须非常小心,不要将铬酸洗液溅于裸露的皮肤之上)。一只手握住铬酸洗液试剂瓶,将标签向着手心,沿器皿瓶口将铬酸洗液倾倒入玻璃器皿中,大约体积三分之一时停止,轻轻旋转并倾斜玻璃器皿,使铬酸洗液比较均匀的浸润玻璃器皿的内壁。根据玻璃器皿的玷污程度决定铬酸洗液浸泡时间,如果器皿玷污严重,可适当延长浸泡时间,也可将器皿充满铬酸洗液,长时间浸泡,或者将铬酸洗液稍许加热,起到更好的洗涤效果。
(2)浸泡完毕将铬酸洗液回收回试剂原瓶中,用自来水洗涤三遍,洗涤过程与铬酸洗液相同,每次洗涤仅适用约玻璃器皿的三分之一体积的水即可。
(3)再用一次去离子水洗涤三遍,洗涤过程与上相同。
(4)根据玻璃器皿洁净程度的要求,还可用二次蒸馏水将玻璃器皿接着洗涤三次。
用以上方法洗涤后,经自来水冲洗干净的仪器上不应留有Ca2+、Mg2+、Cl-等离子。使用蒸馏水的目的只是为了洗去附在仪器壁上的自来水,应符合少量(每次用量少)、多次(一般洗3~4次)的原则。
洗净的仪器壁上不应附着不溶物、油污。把仪器倒转过来,水即顺器壁流下,器壁上只留下一层既薄又均匀的水膜,不挂水珠,这表示仪器已洗干净。不能用布或纸擦拭已洗净的容器,因为布和纸的纤维会留在器壁上弄脏仪器。
洗净的玻璃仪器可用以下方法干燥:
(1)烘干。洗净的一般容器可以放入恒温箱内烘干,放置容器时应注意平放或使容器口朝下。
(2)烤干。烧杯或蒸发皿可置于石棉网上用火烤干。
(3)晾干。洗净的容器可倒置于干净的实验柜内或容器架上晾干。
(4)吹干。可用吹风机将容器吹干。
(5)用有机溶剂干燥。加一些易挥发的有机溶剂(如乙醇或丙酮)到洗净的仪器中,将容器倾斜转动,使器壁上的水和有机溶剂互相溶解、混合,然后倾出有机溶剂,少量残留在仪器中的溶剂很快挥发,而使容器干燥,如用吹风机往仪器内吹风,则干得更快。
(6)带有刻度的容器不能用加热的方法进行干燥,加热会影响这些容器的准确度。
在分析化学基本定量分析实验中,所有使用的玻璃器皿都不需要特别的烘干操作,自然晾干即可。
另外,分析化学中所用玻璃器皿也可以采用硝酸溶液浸泡洗涤的方法,所使用的硝酸溶液可用浓硝酸配制得到,一般可使用1: 3的硝酸溶液,将待洗涤的玻璃器皿先用自来水和去离子水冲洗后浸泡于大浓度的硝酸溶液中,使用前将玻璃器皿取出,用自来水和去离子水分别洗涤三次后使用。
1.2 滴定管的使用
1.滴定管的操作
1)使用前准备
(1)酸式滴定管
首先检查旋塞转动是否灵活,与旋塞套是否配套,然后检查是否漏水,称为试漏。试漏的具体方法是将旋塞关闭,在滴定管中装满自来水至零刻度线以上,静止2min,用干燥的滤纸检查尖嘴和旋塞两端是否有水渗出;将旋塞旋转180o,再静止2min,再次检查是否有水渗出。若不漏水且旋塞转动灵活,即可使用,否则应该在旋塞和旋塞套上再次均匀涂抹凡士林。
涂凡士林是酸式滴定管使用过程中一项重要而基本的操作,先将旋塞套头上的橡皮套取下,将滴定管的旋塞拔出,用滤纸将旋塞和旋塞槽内的凡士林全部擦干净,然后手指蘸取少许凡士林涂于旋塞孔的两侧(图1-6左),并使其成为一均匀的薄层,注意在靠近旋塞孔位置的中间一圈不涂凡士林,以免凡士林堵塞旋塞孔,将涂好凡士林的旋塞按照与滴定管平行方向插入旋塞套中,按紧,然后向同一方向连续旋转旋塞(图1-6右),直至旋塞上的凡士林成均匀透明的膜。若凡士林涂得不够,会出现旋塞转动不灵活或者明显看到旋塞套上出现纹路;若凡士林涂得太多,则会有凡士林从旋塞槽两侧挤出的现象。若出现上述情况,都必须将旋塞和旋塞槽擦拭干净后重新涂凡士林。凡士林涂抹完成后为防止滴定过程中旋塞从旋塞套上脱落的现象,必须在旋塞套的小头部分套上一个小橡皮套,在套橡皮套时,要用手指顶住旋塞柄,以防旋塞松动。整个操作进行完后还要重新检查滴定管的漏水情况。
(2)碱式滴定管
先在碱式滴定管中装满水至零刻度线以上,观察尖嘴处是否有水滴渗出。若滴定管尖有水漏出,可能原因就是橡皮管老化或者是玻璃珠过小会导致漏液。因此更换老化的橡皮管,同时选择合适的玻璃珠是排除碱式滴定管漏水的方法。
检漏进行完后,洗涤滴定管是滴定管准备过程中的重要环节,一般用铬酸洗液洗涤,先将酸式滴定管中水沥干,倒入10mL左右铬酸洗液(碱式滴定管应先卸下乳胶管和尖嘴,套上一个稍微老化不能使用的乳胶管,再倒入洗液,在小烧杯中用洗液浸泡尖嘴和玻璃珠),双手手心朝上慢慢倾斜,尽量放平管身,并旋转滴定管,使洗液浸润整个滴定管内壁,然后将洗液放回洗液瓶中。若滴定管玷污严重,可装满洗液浸泡或用温热的洗液浸泡,尤其是酸式滴定管尖嘴中有凡士林时,应用热水或者热洗液浸泡洗涤(必须等冷却后,再用水洗)。然后分别用自来水、去离子水分别洗涤三次,洗涤时应遵循少量多次原则。

2)标准溶液的装入
为了保证装入滴定管的标准溶液不被稀释,需要用该种标准溶液润洗滴定管两次或者三次,每次用5~10mL标准溶液。润洗方法同于铬酸洗液洗涤滴定管,洗涤完毕的溶液从下管口放出。注意标准溶液应从试剂瓶、容量瓶等直接倒入滴定管,不借助于任何烧杯及漏斗等中间容器,以免标准溶液的浓度改变。
标准溶液润洗进行完后,从滴定管的上管口直接加入标准溶液至零刻度线以上,装满后,检查滴定管尖嘴内是否有气泡,若有气泡,应将气泡排出,否则将造成测量误差。酸式滴定管排气泡的方法是装满标准溶液后然后迅速打开旋塞,使溶液快速冲出将气泡带出,同时可以轻轻抖动滴定管管身,保证气泡快速冲出。而对于碱式滴定管,应用左手拿住滴定管上端,左手的拇指和食指轻轻捏挤玻璃珠外侧的橡皮管,同时将尖嘴上翘,溶液慢慢流出时将气泡带走(图1-7)。注意捏挤橡胶管外侧时不要用力过大,以防止气泡重新进入滴定管中。同时由于溶液有一定的滑腻感,捏挤橡胶管时注意不要上下移动玻璃珠的位置,防止漏液。
3)滴定管的读数
滴定管的读数误差是滴定分析的主要误差来源之一。每一个滴定数据的获得,都需经过两次读数,即起始或者零点读数以及滴定结束时的读数。
排除气泡后,使标准溶液的液面在滴定管“0”刻线以上,仔细调节液面至“0”刻线,并记录零点0.00mL;也可调液面在“0”刻线以下作为零点(一般在1.00mL范围内),但要记录其实际体积,如0.28mL等。读数时应注意:
(1)读数前应等待0.5~1min,使附着在滴定管内壁的标准溶液完全流下,液面稳定不变。
(2)读数时应将滴定管从滴定管架上取下,用拇指和食指握住滴定管上部,使滴定管悬垂。因为在滴定管架上不能确保滴定管处于垂直状态而造成读数误差。
(3)无色和浅色溶液将有清晰的凹液面,读数时应保持视线与凹液面的最低点相切。视线偏高(俯视)将使读数偏小,视线偏低(仰视)将使读数偏大。颜色较深的溶液(如KMn04、I2等)无法清晰辨认凹液面,读数时,应读取溶液上沿(图1-8)。

(4)使用“蓝带”滴定管时,此时凹液面中间被打断,两边凹液面交在蓝线上的交点即为读数。
(5)每次读数前均应检查尖嘴是否有气泡,是否有液滴悬挂在尖嘴,并根据滴定管的精密程度准确读数至×. ××mL。
(6)由于滴定管的刻度不绝对均匀,因此为减小滴定误差,每一次滴定做完应该把滴定管加满后重新开始第二次滴定,保证使用滴定管的相同部位进行读数,这样可以消除因刻度不均匀而引起的误差。
4)滴定操作
先将装好标准溶液并调好“零点”的(记录起始读数)滴定管垂直地夹在滴定管架上,下面的滴定台应该是白色台面,使滴定过程中的颜色变化更容易观察。滴定开始之前,必须调整好滴定管和滴定台的高度、滴定台和锥形瓶的高度。首先滴定台的前沿需要距离桌面的前沿10-15cm, 滴定的时候锥形瓶的瓶底应该距离下面的滴定台白台面2-3cm高,滴定管的管尖在滴定时应伸入锥形瓶的瓶口1-2cm比较合适。滴定时,必须左手操作滴定管,右手握住锥形瓶并不断摇动。
使用酸式滴定管时,其手部的动作应该称为“反扣法”,将活塞套的旋塞部分冲外,用左手控制滴定管的旋塞,大拇指在前,食指及中指在后握住旋塞,无名指和小拇指弯曲靠在尖嘴上。在凡士林涂抹合适的情况下转动活塞时,稍微向手心使劲,这是为了防止滴定过程中旋塞从旋塞套中脱落,并注意手掌不要顶住旋塞,在滴定过程中左手不能离开旋塞(图1-9)。

使用碱式滴定管时,左手大拇指在前,食指在后,另三指固定尖嘴,中指和无名指夹住管尖,用手指指尖挤压玻璃珠上半部分右侧乳胶管,使乳胶管内壁和玻璃珠之间形成一条细小的缝隙,溶液即可流出(图1-10)。注意在挤压玻璃珠时不要挤压玻璃珠的中部,也不要挤压玻璃珠下部乳胶管,以免空气进入尖嘴,造成滴定体积测量误羞。
摇动锥形瓶时,右手大拇指在前,食指和中指在后,无名指和小拇指自然微曲靠在锥形瓶前侧,手腕放松,保持锥形瓶瓶口水平;同时也可以使大拇指处于锥形瓶一侧在前,四个手指在后握住锥形瓶。滴定时使滴定管尖嘴伸入锥形瓶1-2cm左右为宜,边滴定边摇动锥形瓶,摇动锥形瓶尽量抖动手腕,使锥形瓶里的溶液应作同一方向做圆周运动(常以顺时针为宜)。不要摇动幅度过大,也不要左右振荡,谨防溶液溅出,如果有溶液溅出的情况应进行重新滴定。
滴定速度将直接影响滴定终点的观察和判断,一般情况下,滴定开始时,滴定速度可适当地快一点(视具体滴定不同有差异),其滴定的快慢程度可以用“见滴成线”来说明,但不能使滴定剂成液流线型流出。滴定时,仔细观察滴定剂滴入点周围的颜色变化,若颜色变化越来越慢则必须放慢滴定速度,需逐滴地滴加滴定剂,滴一滴,摇一摇,直至一滴溶液加入后振摇几下后颜色才变化回去,此时应半滴半滴地滴加,当溶液颜色有明显变化且半分钟内不褪时,即告到达终点,停止滴定。
控制半滴的操作是微微旋转旋塞或稍稍挤压玻璃珠上部乳胶管,使滴定剂慢慢流出,并有半滴溶液悬挂在尖嘴口(注意只要溶液没有落下,即为半滴溶液,同时有大半滴于小半滴之分,应该尽量滴入小半滴溶液),将尖嘴小心伸入锥形瓶,使半滴溶液靠在锥形瓶内壁上,然后慢慢倾斜锥形瓶,使锥形瓶中的溶液将该半滴滴定剂顺入其中,或用洗瓶以去离子水吹洗冲下;或者直接用洗瓶将半滴溶液吹入锥形瓶中。少量的锥形瓶吹洗不会影响测定的实验误差。
1.3 移液管和吸量管的操作
移液管和吸量管都是可以准确移取一定体积溶液的量器,但是两者从外观上有差别,移液管是一根中部膨大的细长玻璃管,上有一环形标线,只能移取一个准确体积的溶液;吸量管是具有分刻度线的玻璃管,可准确移取小于最大体积的不同体积溶液。使用移液管和吸量管时,一般用右手拿移液管(吸量管),左手拿洗耳球。右手大拇指和中指拿住移液管(吸量管)刻线以上处,食指在管口上方(注意这里坚决不能使用大拇指),随时准备按住管口,另外两指辅助拿住移液管(吸量管)(图1-11)。

1)洗涤
分析化学中所用的玻璃器皿洗涤方式同样使用于移液管和吸量管的洗涤。移液管和吸量管可以吸取少量铬酸洗液洗涤,也可以将移液管和吸量管浸泡在用500mL或1000mL量筒装的铬酸洗液中洗涤。待铬酸洗液沥干后,分别用自来水、去离子水顺序洗涤,使用前,用滤纸将移液管或吸量管外壁水分擦干,并将尖嘴残留的水吸尽,然后用待吸取的溶液润洗三次,以除去管内残留的水分。
移液管的润洗方法是:用洗耳球吸取溶液进入移液管大概1/3体积处,一般刚好进入大肚移液管的膨胀部分,迅速用右手食指按住管口(尽量不让吸入的溶液回流而稀释所移取溶液)。然后取出移液管,并将管慢慢倾斜,双手托住移液管两端,转动移液管使溶液浸润整个移液管内壁(注意:管口处可放置一个烧杯),当溶液流至管口附近时,再慢慢将移液管直立起来,使溶液从尖嘴排出。对于25mL移液管,可以使用5-10mL溶液润洗2-3次。
2)移取溶液
将移液管插入液面以下1~2cm处,插入太浅易出现吸空,插入太深会使管外壁黏附太多的溶液,影响移取溶液的准确度;如果是移取容量瓶中的溶液,则应该将移液管插入到容量瓶的大肚部位处。左手将洗耳球中的空气先挤掉,然后将洗耳球尖嘴接在移液管口,慢慢松开左手,让溶液吸入移液管内,为防止吸空,移液管应随液面而下降。当移液管中液面上升至刻线以上时,迅速移开洗耳球并用右手食指按住管口,保持移液管垂直,尖嘴紧贴在原容器内壁,稍稍松动食指并轻轻来回转动移液管,使液面缓慢下降至凹液面的最低点与刻度线相切后将移液管靠在内壁上旋转3圈后取出移液管,用事先准备的滤纸片擦干移液管下端外壁所黏附溶液,此时管尖不得有气泡,也不得有液滴悬挂。将移液管垂直置于接受溶液的容器(如锥形瓶)中,尖嘴紧贴容器壁,左手拿接受容器并使其倾斜成45o。放松食指,使溶液自由流出,待溶液全部流出再等10-15s后,将移液管自转3圈后取出移液管。
吸量管的使用与移液管基本相同,应注意的是吸量管的准确度不及移液管,最好不要用于标准溶液;在平行实验中,应尽量使用同一支吸量管的同一段,并尽量避免使用末端收缩部分。
1.4 容量瓶的操作
1)检漏
使用前,先检查是否漏水。检漏方法:装入自来水至标线附近,盖好瓶塞,左手拿住瓶颈以上部分并用食指按住瓶塞,右手手指托住瓶底边缘,倒立1min,观察瓶塞周围是否有水渗出,若不漏,将瓶直立,转动瓶塞180o,再倒立试漏1min,若不漏水,即可使用。 同时注意瓶塞和瓶颈之间要套上橡皮筋,防止瓶塞脱落并打坏瓶塞。
2)洗涤
容量瓶与其他容量分析仪器相同,需先用铬酸洗液洗涤,然后依次用自来水、去离子水洗涤3遍后使用。
3)使用
容量瓶使用前应先洗净。若用固体配制溶液,先将准确称量的固体物质在烧杯中溶解,然后再将溶液转移到容量瓶中,转移时,一手(常为右手)拿玻棒,将其伸入容量瓶口,一端轻靠瓶口内壁并倾斜;另一手拿烧杯,使烧杯嘴紧贴玻棒,慢慢倾斜烧杯,使溶液沿玻棒流下,溶液全部流完后,将烧杯轻轻沿玻棒上提,同时将烧杯直立,使附着在玻棒与烧杯嘴之间的溶液流回烧杯或沿玻棒下流(图1-12)。注意不能直接将烧杯从玻棒处拿开,否则,残留在玻棒和烧杯嘴中间的液滴可能损失。然后用去离子水洗涤烧杯3~4次,每次洗涤液一并转入容量瓶中。当至容量瓶容积的2/3时,摇动容量瓶使溶液混匀,此时不能盖上瓶塞将容量瓶倒转。继续加去离子水至接近标线1-2cm时等待1-2min,使瓶颈内壁的溶液流下。用滴管或洗瓶慢慢滴加,直至溶液的弯月面与标线相切为止。最后,盖上瓶塞,左手握住瓶颈,左手食指按住瓶塞,右手托住瓶底,反复倒转并摇动(图1-13)。容量瓶直立后,可以发现此时溶液凹液面在标线以下,属正常现象,是溶液渗入磨口与瓶塞缝隙中引起的,不必再加水至刻线。
若是稀释溶液,则用移液管吸取一定体积的溶液于容量瓶中,直接加去离子水稀释至刻度,具体操作同上。

热溶液应冷却至室温后再定容,否则将造成误差;需避光保存的溶液应使用棕色容量瓶。若试剂需要长期保存,应转入试剂瓶中保存。当容量瓶长期不用时,应将其洗净,并在磨口与瓶塞间垫一张滤纸片,以防瓶塞黏合,难以打开。
1.5 分析化学实验数据的记录、处理和实验报告
1.5.1分析化学实验数据的记录
学生应有专门的、预先编有页码的实验记录本,不得撕去任何一页。绝不允许将数据记在单面纸或小纸片上,或记在书上甚至手掌上等。实验记录本上记录的是实验中的所有原始数据,一般整理后书写实验报告。实验过程中的各种测量数据及有关现象,应及时准确而清楚地记录下来。记录实验数据要实事求是,切忌随意拼凑或伪造数据。
实验过程中测量数据时,应注意其有效数字的位数。用分析天平称量时,要求记录到0.0001g;滴定管及吸量管的读数应记录到0.01mL;用分光光度计测量溶液的吸光度时,如吸光度在0.6以下,应记录至0. 001的读数,大于0.6时,则要求记录至0.01的读数。
实验记录上的每一个数据,都是测量结果,所以,重复观测时,即使数据完全相同,也都要记录下来;如滴定管的起始读数若每一次均为0刻度开始,也应该严格记录0.00mL。
进行记录时,对文字记录,应整洁;对数据记录,应采用一定的表格形式,这样就更为清楚明白。
在实验过程中,如发现数据算错、测错或读错而需要改动时,可将该数据用一横线划去,并在其上方写上正确的数字。
1.5.2分析化学实验数据的处理
为了衡量分析结果的精密度,一般对单次测定的一组结果χ1,χ2,…,χn,算出算术平均值后,应再用单次测量结果的相对偏差、平均偏差、标准偏差等表示出来,这些是分析化学实验中最常用的几种处理数据的表示方法。一般在分析化学中相对偏差、平均偏差和相对标准偏差保留一位有效数字即可。

对分析化学实验数据的处理,有时是大宗数据的处理,甚至有时还要进行总体和样本的大宗数据的处理。例如,有些学生假期进行某流域水样的监测,就需要进行大批数据的处理。
其他有关实验数据的统计学处理,如置信度与置信区间、是否存在显著性差异的检验及对可疑值的取舍判断等,可参考有关教材和专著。
1.5.3分析化学实验报告
实验完毕,应用专门的实验报告本,根据预习和实验中的现象及数据记录等,及时而认真地写出实验报告。分析化学实验报告一般包括以下内容。
实验名称
一、实验目的
二、实验原理
简要地用文字和化学反应式说明。例如,对于滴定分析,通常应有标定和滴定反应方程式,基准物质和指示剂的选择,标定和滴定的计算公式等。对特殊仪器的实验装置,应画出实验装置图。
三、主要仪器与试剂
列出实验中所要使用的主要试剂和仪器。
四、实验步骤
应简明扼要地写出实验步骤过程。
五、实验数据及其处理
应用文字、表格、图形将数据表示出来。根据实验要求及计算公式计算出分析结果并进行有关数据和误差处理,尽可能地使记录表格化。这一部分是实验报告的关键,必须认真书写,同时严格注意所有读数的有效数字。
六、问题讨论
解答实验教材中的思考题,对实验中的现象、产生的误差等进行讨论和分析,同时自己总结实验规律,以提高自己分析问题、解决问题的能力,为科学论文的写作打下基础。
第二章 分析化学实验
实验一 滴定分析基本操作练习
【实验目的】
1.掌握酸式、碱式滴定管的洗涤、准备和使用方法。
2.熟悉酚酞、甲基橙等常用指示剂的颜色变化,正确判断滴定终点。
【主要试剂和仪器】
仪器:50 mL酸式滴定管;50 mL碱式滴定管;锥形瓶;250mL锥形瓶。
试剂:浓HCl(ρ=1.18g/mL);NaOH(s);0.1%甲基橙水溶液;0.2%酚酞乙醇溶液。
【实验原理】
在滴定分析法中,将滴定剂(已知准确浓度的标准溶液)滴加到含有被测组分的试液中,直至反应完全,并用指示剂指示滴定终点的滴定过程,是必须掌握的方法。根据滴定剂消耗的体积可以计算待测物的浓度。为了准确测定滴定剂消耗的体积,必须学会标准溶液的配制、标定、滴定管的正确操作和滴定终点的判断。
酸碱指示剂(acid-base indicator)因其酸式和碱式的结构不同而具有不同的颜色。指示剂的理论变色点即为该指示剂的pKHIn (KHln为解离常数),即时溶液的pH,指示剂的理论变色范围为pKHIn±1,因此,在一定条件下,指示剂的颜色取决于溶液的pH。在酸碱滴定过程中,计量点前后pH会发生突跃(滴定突跃),只要选择变色范围全部或部分落入滴定突跃范围的指示剂即可用来指示滴定终点,保证滴定误差小于±0.1%。
本实验中,选择0.10 mol・L-1NaOH溶液滴定等浓度HCl溶液,滴定的突跃范围为pH 4.3~9.7,可选用酚酞(变色范围pH 8.0~9.6)和甲基橙(变色范围pH 3.1~4.4)作指示剂。在使用同一指示剂的情况下,进行盐酸和氢氧化钠的互滴练习,不管被滴定溶液的体积如何变化,只要使用的始终是同一瓶溶液,则该体积比应保持不变。基此,可使学生逐步熟练掌握滴定分析基本操作技术和正确判断终点的能力。通过反复练习,使学生学会通过观察滴定剂落点处周围的颜色改变的快慢判断终点是否临近,并学会控制一滴一滴或半滴半滴地滴加滴定剂,直至最后半滴滴定剂的加入引起溶液颜色的明显变化,停止滴定,到达滴定终点。通过所消耗盐酸和氢氧化钠的体积比来计算测定方法的精密度。
【实验步骤】
1.配制0.10 mol・L-1NaOH溶液和HCl溶液
1)NaOH溶液的配制
在台秤上用表面皿迅速称取2.0g NaOH固体于烧杯中,加入少量去离子水,搅拌溶解后将溶液转入500mL试剂瓶中,用去离子水涮洗烧杯2~3次,并将涮洗液倒入试剂瓶,继续加水至总体积约为500 mL,盖上橡皮塞,摇匀,贴上标签,2人共用。
2)HCl溶液的配制
在通风橱中用洁净的10 mL量筒量取浓HCl 4.0~4.5mL,倒入预先装入一定体积去离子水的500 mL试剂瓶中,用去离子水稀释至总体积约为500 mL,盖上玻璃塞,摇匀,贴上标签,2人共用。
2.滴定操作练习
1)准备
按之前所叙述的方法准备好酸式、碱式滴定管各一支,分别装满HCl和NaOH溶液至零刻度线以上,排出气泡,调节液面处于“0.00”或零刻线稍下的某一位置,静止1min左右。
2)酸碱互滴练习
由酸式滴定管中放出0.1 mol・L-1HCl溶液几毫升于250mL锥形瓶中,加入约20mL去离子水,再加入酚酞指示剂1滴,用碱式滴定管滴出 0.10mol/L NaOH溶液进行滴定,特别注意练习碱式滴定管加一滴和半滴溶液的操作,观察指示剂在终点附近的变色情况,滴定至溶液呈微红色且半分钟不褪色,即为终点。再用酸式滴定管加入少许HCl溶液,使锥形瓶内颜色褪尽,继续用NaOH溶液滴定至终点,如此反复练习至能准确判断滴定终点、自如控制滴定速度。
从碱式滴定管放出0.10 mol・L-1 NaOH溶液几毫升于250mL锥形瓶中,加入约20mL去离子水,再加入甲基橙指示剂1滴,用酸式滴定管滴出 0.10 mol・L-1HCl溶液进行滴定,特别注意练习酸式滴定管加一滴和半滴溶液的操作,滴定至溶液从黄色转化为橙色为终点。再用碱式滴定管加入少许NaOH溶液,使锥形瓶内颜色褪至黄色,继续用HCl溶液滴定至终点,如此反复练习至能准确判断滴定终点、自如控制滴定速度。注意,甲基橙为双色指示剂,应密切注意滴定到达滴定终点时颜色的变化情况,正确掌握滴定终点。
3)以酚酞作指示剂用NaOH滴定HCl
从酸式滴定管准确放出约20 mL HCl溶液于锥形瓶中,加少量去离子水,再加入1~2滴酚酞,在不断摇动下,用NaOH溶液滴定至终点,记录读数。然后再将酸碱滴定管加满,记录起始读数,重复上面的操作2次直至滴定终点到达。重点判断滴定终点并进行读数记录。
4)以甲基橙作指示剂用HCl滴定NaOH
从碱式滴定管准确放出约20 mL NaOH溶液于锥形瓶中,加少量去离子水,加入1~2滴甲基橙,在不断摇动下,用HCl溶液滴定至溶液由黄色转变为橙色为终点。然后再将酸碱滴定管加满,记录起始读数,重复上面的操作2次直至滴定终点到达。重点判断滴定终点并进行读数记录。
【实验数据记录及处理】
写出有关公式,将实验数据和计算结果填入表1-1和1-2。根据记录的实验数据计算出VHCl /VNaOH及VNaOH /VHCl,并计算三次测定结果的相对标准偏差。对测定结果要求相对标准偏差小于0.3%。

【思考题】
1.NaOH和HCl标准溶液能否用直接配制法配制?为什么?配制时可用量筒量取浓HCl,用台秤称取NaOH(s),而不用吸量管和分析天平,为什么?
2.标准溶液装入滴定管之前,为什么要用待装溶液涮洗2~3次?锥形瓶是否也需事先涮洗或烘干?
3.为什么HCl溶液滴定NaOH溶液时,常选择甲基橙作指示剂,而NaOH溶液滴定HCl溶液时,常选择酚酞作指示剂?
4.使用酚酞指示滴定终点时,为什么说只要半分钟内不褪色即为到达滴定终点?
【相关知识链接】
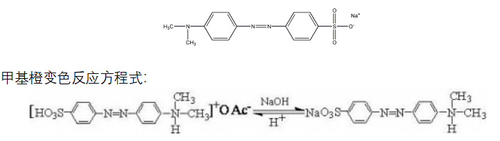
甲基橙:其化学名称为4-[[4-(二甲氨基)苯基]偶氮基]苯磺酸钠盐;对二甲氮基偶苯磺酸钠;甲基橙 4-(4-二甲氨基)苯基偶氮基)苯磺酸钠,其理论变色点是pH为3.4。甲基橙(methyl orange)本身为碱性,变色范围pH为3.1-4.4, pH<3.1时变红,pH>4.4时变黄,pH在3.1-4.4时呈橙色。
结构如下图所示:

酚酞:其化学名称为3,3-双(4-羟基苯基)-1(3H)-异苯并呋喃酮, 其理论变色点为pH为8.2,不同pH下酚酞的不同颜色见表2-3。

实验二 食醋中醋酸含量的测定(酸碱滴定法)
【实验目的】
1.了解强碱滴定弱酸过程中pH的变化和指示剂的选择。
2.掌握醋酸总酸量的测定方法。
3.练习碱式滴定管的使用方法;学习移液管和容量瓶的使用方法。
【简单原理】
食醋的主要成分是醋酸(Ka=1.8×10-5),此外还含有少量其他弱酸如乳酸(Ka=1.4×10 -4)等。C•Ka ≥ 10-8,故可以用NaOH标准溶液直接准确滴定,但测得的是酸的总量即总酸量。总酸量仍以醋酸表示,其主要反应式为:
NaOH + CH3COOH = CH3COONa+ H2O
计量点产物为强碱弱酸盐,滴定突跃在碱性范围,故选择酚酞作指示剂。
食醋中醋酸含量较大,一般≥ 3.5%,且有一定色泽,影响终点颜色观察,因此,必须选择白醋并稀释后再进行滴定。
NaOH固体腐蚀性强,易吸收空气中水分和CO2,因此不能直接配制其准确浓度,只能先配制近似浓度的溶液,然后用基准物质标定其准确浓度。也可用另一已知准确浓度的标准溶液滴定该溶液,再根据它们的体积比求得该溶液的浓度。
基准物质是能用于直接配制标准溶液的化学试剂,也是用来确定某一溶液准确浓度的标准物质,必须符合以下要求:一是纯度(质量分数)应≥99.9%;二是组成与它的化学式完全相符,如含有结晶水,其结晶水的含量均应符合化学式;三是性质稳定,一般情况下不易失水、吸水或变质,不与空气中的氧气及二氧化碳反应;四是参加反应时,应按反应式定量地进行,没有副反应;五是要有较大的摩尔质量,以减小称量时的相对误差。
在酸碱滴定中,标定NaOH常用的基准物质有邻苯二甲酸氢钾(KHC8H4O4,简写为KHP)和草酸(H2C2O4·2H2O)等。由于邻苯二甲酸氢钾易制得纯品,在空气中不吸水且易于保存,摩尔质量较大,因此应用更为广泛。用KHP标定NaOH溶液时反应如下:
HP- + OH- =P2- + H2O
由于滴定至计量点时溶液呈碱性(二元碱,pH≈9),因此可采用酚酞指示剂指示滴定终点。
【实验用品】
试剂: NaOH固体;0.2%酚酞(乙醇溶液);食醋;邻苯二甲酸氢钾(基准物质,100~1250C干燥1小时,然后放入干燥器内冷却后备用)。
仪器: 50mL碱式滴定管;250mL锥形瓶;50mL、25.00mL移液管;烧杯;250 mL容量瓶;洗瓶;500mL试剂瓶;电子天平;台秤;表面皿;玻璃棒;滴管;橡皮洗耳球;电加热板。
【实验内容】
1.0.1 mol・L-1NaOH标准溶液的配制和标定
0.1 mol・L-1NaOH标准溶液的配制同实验一的配制方法。
准确称取0.4~0.6 g邻苯二甲酸氢钾,置于250 mL 锥形瓶中,加入20~30 mL水,微热使其完全溶解。待溶液冷却后,加入2-3 滴0.2%酚酞指示剂,用待标定的NaOH溶液滴定至溶液呈微红色,半分钟内不褪色,即为终点(如果较长时间微红色慢慢褪去,是由于溶液吸收了空气中的二氧化碳所致),记录所消耗NaOH溶液的体积。平行测定三次。
2.食醋中总酸量的测定
用移液管移取25.00 mL食醋于250 mL容量瓶中,用水稀释至刻度,摇匀(不同样品稀释倍数不一样,根据样品确定)。用移液管移取25.00 mL稀释的食醋试液于250 mL锥形瓶中,加水20 mL及酚酞指示剂2-3滴,用0.10 mol・L-1NaOH标准溶液滴定至微红色在30 s内不褪为止。平行测定三次。
写出有关公式,根据记录的实验数据计算出NaOH溶液的准确浓度。计算食醋的总酸量,用每100 mL食醋含CH3 COOH的克数表示。并计算三次测定结果的相对标准偏差。对标定结果要求相对标准偏差小于0.2%,对测定结果要求相对标准偏差小于0.3%。
【实验习题】
1.以NaOH溶液滴定醋酸溶液,属于哪种类型的滴定?怎样选择指示剂?
2.NaOH为标准溶液,酚酞作指示剂,测定醋酸溶液总酸量时,终点怎样掌握?为什么?
【参考文献】
[1]黄朝表, 潘祖亭, 2013, 分析化学实验. 北京: 科学出版社.
[2]张小玲, 张慧敏, 邵清龙, 2007, 化学分析实验. 北京: 北京理工大学出版社.
【相关知识链接】

实验三 工业纯碱中总碱度的测定(酸碱滴定法)
【实验目的】
1.掌握配制和标定HCl标准溶液的方法。
2.学习容量瓶、移液管的使用方法,进一步熟练酸式滴定管的操作方法。
3.掌握工业纯碱中总碱度测定的原理和方法。
【主要试剂和仪器】
仪器:酸滴定管;锥形瓶;容量瓶;移液管;烧杯;洗瓶。
试剂: 无水碳酸钠(基准物质,180 0C干燥2~3小时,然后放入干燥器内冷却后备用);浓HCl(相对密度1.19,分析纯);0.2%甲基橙水溶液;工业纯碱试样。
【实验原理】
碳酸钠是重要的化工原料之一,作为制造其他化学品的原料、清洗剂、洗涤剂,广泛应用于轻工日化、建材、化学工业、食品工业、冶金、纺织、石油、国防、医药等领域。工业碳酸钠,俗称纯碱、苏打或苏打粉,其主要成分为Na2CO3,其中可能还含有少量NaCl、Na2SO4、NaOH或NaHCO3等成分。工业纯碱总碱度的测定,通常是指用酸碱滴定法滴定主要成分Na2CO3和其他碱性杂质如NaOH或NaHCO3等的含量,常用于鉴定纯碱的质量。可能发生的反应包括:
Na2CO3+2HCl = 2NaCl+ H2O+CO2↑
NaOH + HCl = NaCl+ H2O
NaHCO3+HCl = NaCl+ H2O+CO2↑
反应产物为 NaCl和H2CO3,化学计量点时pH为3.8左右。可选用甲基橙为指示剂,用HCl标准溶液滴定至溶液由黄色变为橙色时,即为终点。
工业纯碱长期暴露在空气中能吸收空气中的水分及二氧化碳,生成碳酸氢钠,并结成硬块。因此要将试样在2700C-3000C烘干2小时,除去试样中的水分,并使NaHCO3全部转化为Na2CO3。工业纯碱均匀性差,测定的允许误差可稍大。
浓盐酸易挥发出HCl气体,不能直接配制准确浓度的HCl标准溶液。配制盐酸标准溶液时需用间接配制法,先配制近似浓度的溶液,然后用基准物质标定其准确浓度。也可用另一已知准确浓度的标准溶液滴定盐酸溶液,再根据它们的体积比求得盐酸溶液的浓度。
标定HCl溶液常用的基准物有无水碳酸钠和硼砂等。由于无水碳酸钠相对比较稳定,易于保存,且价格低廉,且标定和测定条件一致。因此本实验以采用无水碳酸钠作为基准物质标定HCl溶液。由于滴定至计量点时溶液呈酸性(二元酸,pH≈3.8),因此可采用甲基橙指示剂指示滴定终点。
【实验步骤】
1.0.10 mol·L-1 HCl溶液的配制及标定
0.10 mol·L-1 HCl溶液的配制同实验一。
准确称取0.11 ~ 0.16 g无水碳酸钠,置于250 mL 锥形瓶中,加入20-30 mL水使其完全溶解。加入2-3滴0.2%甲基橙指示剂,用待标定的HCl溶液滴定至溶液由黄色转变为橙色,即为终点,记录所消耗HCl溶液的体积。平行测定3次。
2.纯碱试样总碱度的测定
准确称取1.4-1.7 g纯碱试样(根据试样不同,称取的量有所变化),置于小烧杯中,加适量水使其完全溶解后,定量转移至250 mL容量瓶中,加水稀释至刻度,充分摇匀。
用移液管准确移取25.00 mL纯碱试样溶液于锥形瓶中,加入2-3滴甲基橙指示剂。用已标定的HCl标准溶液滴定至溶液由黄色转变为橙色,即为终点。记录所消耗HCl溶液的体积,平行测定3次。
【实验数据记录及处理】
写出有关公式,将实验数据和计算结果填入表2-1和2-2。根据记录的实验数据分别计算出HCl溶液的准确浓度和纯碱中碳酸钠的质量分数,并计算三次测定结果的相对标准偏差。对标定结果要求相对标准偏差小于0.2%,对测定结果要求相对标准偏差小于0.3%。


【附注】
1.反应本身由于产生H2CO3 会使滴定突跃不明显,致使指示剂颜色变化不够敏锐,因此,接近滴定终点之前,可加热煮沸溶液,并摇动以赶走CO2,冷却后再滴定。
2.该品具有弱刺激性和弱腐蚀性。直接接触可引起皮肤和眼灼伤。使用时穿戴适当的防护服和手套;不慎与眼睛接触后,请立即用大量清水冲洗并征求医生意见。
【思考题】
1.为什么HCl溶液不能直接配制标准溶液?常用的基准物质有哪些?
无水碳酸钠保存不当,吸收部分水分,对标定结果和总碱度测定结果分别有什么影响?
【相关知识链接】

实验四 水样的总硬度的测定(络合滴定法)
【实验目的】
1. 掌握配制和标定EDTA标准溶液的方法。
2. 掌握铬黑T指示剂的使用条件和确定终点的方法。
3. 掌握配位滴定法测定水的总硬度的原理和方法。
4. 了解掩蔽干扰离子的条件及方法。
【主要试剂和仪器】
仪器:酸式滴定管;锥形瓶;容量瓶;移液管;烧杯;洗瓶。
试剂:碳酸钙(基准物质,120 0C干燥2小时,然后放入干燥器内冷却后备用);乙二胺四乙酸二钠盐(EDTA);铬黑T指示剂;NH3-NH4Cl缓冲溶液( pH≈10);三乙醇胺(1: 2);1: 1 HCl溶液。
【实验原理】
水的总硬度是指水中所含钙、镁离子的总量,它是水质的一项重要指标。对于水的总硬度,各国表示方法有所不同,我国目前采用将水中钙、镁离子的总量折算成 CaCO3含量来表示硬度(单位为mg・L-1或mmol・L-l)和将水中钙、镁离子总量折算成CaO的含量来表示总硬度(单位为德国度,10=10 mg・L-1CaO)。
测定水的总硬度一般采用EDTA滴定法。在pH≈10的氨性缓冲溶液中,以铬黑T为指示剂,用EDTA标准溶液滴定钙、镁离子总量。铬黑T和EDTA都能和Ca2+、Mg2+形成配合物,其配合物稳定性顺序为:[CaY]2- > [MgY]2- > [MgIn]- > [CaIn]-。在化学计量点前,加入铬黑T后,部分Mg2+与铬黑T形成配合物使溶液呈紫红色。
当用EDTA滴定时,EDTA先与Ca2+和游离Mg2+反应形成无色的配合物,化学计量点时,EDTA夺取指示剂配合物中的Mg2+,使指示剂游离出来,溶液由紫红色变成纯蓝色即为终点。
滴定前: Mg2+ + HIn2-←→ [MgIn]- + H+
蓝色 紫红色
化学计量点前: Ca2+ + H2Y2-←→[CaY]2- + 2H+
Mg2+ + H2Y2-←→[MgY]2- + 2H+
化学计量点时: [MgIn]- + H2Y2- ←→ [MgY]2- + HIn- + H+
紫红色 蓝色
根据消耗的EDTA 标准溶液的体积计算水的总硬度。
水样中,常存在 Fe3+,A13+ ,Cu2+,Pb2+,Zn2+ ,Mn2+等金属离子,将会影响对终点的干扰甚至使滴定不能进行。滴定时可采用三乙醇胺掩蔽Fe3+,A13+等干扰离子;以Na2S或巯基乙酸掩蔽Cu2+,Pb2+,Zn2+等干扰离子。Mn2+的干扰可用盐酸羟胺消除。
铬黑T和Mg2+显色灵敏度高于Ca2+的显色灵敏度,当水样中镁的含量较低时,指示剂在终点的变色不敏锐。为了提高滴定终点的敏锐性,氨性缓冲溶液中可加入一定量的Mg2+-EDTA(Mg-Y2-, MgY2-)予以改善或者使用K-B混合指示剂指示终点(紫红至蓝绿)。
乙二胺四乙酸简称EDTA或EDTA酸,用H4Y表示,是白色、无味的结晶性粉末,不溶于冷水、乙醇及一般有机溶剂,微溶于热水,溶于氢氧化钠,碳酸钠及氨的溶液。实验中一般用乙二胺四乙酸二钠盐代替EDTA,一般简称为EDTA或者EDTA二钠盐,用Na2H2Y·2H2O表示,其在水中的溶解度较大。市售的EDTA二钠盐中含有EDTA酸和水分,如不经过精制和烘干,就不能采用直接配制法配制标准溶液。EDTA溶液标定时要根据测定对象的不同,选择不同的基准物质来标定。常用的基准物质有纯金属如Zn,Cu,Pb等;化合物如ZnO,CaCO3,PbO,MgSO4·7H2O等。标定EDTA时,应尽量选择与被测组分相同的基准物质,使标定和测定的条件一致,可减少测量误差。
测定水的总硬度时,常用CaCO3基准物质标定EDTA溶液的浓度,反应条件与测定时一致。标定时,为了改善滴定终点的变色敏锐度,可在钙标准溶液中加入少量的Mg2+-EDTA溶液。
【实验步骤】
1.0.01 mol·L-1 EDTA溶液的配制及标定
1)0.01 mol·L-1 EDTA溶液的配制
在台秤上称量2.0 g EDTA二钠盐固体于小烧杯中,加入约50 mL水,微热使其完全溶解。冷却后转入500 mL 试剂瓶(如需保存,则用聚乙烯瓶)中,用水涮洗烧杯2~3次,并将涮洗液并入试剂瓶,继续加水至总体积约为500 mL,盖好瓶口,摇匀,贴上标签。
2)0.01 mol·L-l钙标准溶液的配制
准确称取一定质量(0.30-0.40g)CaCO3于小烧杯中,加几滴水使其成糊状。盖上表面皿,由烧杯嘴沿杯壁慢慢滴加3-5 mL 1:1 HCl,反应剧烈时稍停,手指按住表面皿略为转动烧杯底,使试样完全溶解。加入约20 mL水,盖上表面皿,用小火加热钙溶液沸腾约2 min,逐去CO2。冷却后,用水吹洗表面皿的凸面和烧杯内壁,将洗涤液全部定量转入250 mL容量瓶中,用水稀释至刻度,摇匀。
3)EDTA溶液的标定
用移液管准确移取25.00 mL 钙标准溶液于250 mL锥形瓶中,依次加入2 mL MgY2-溶液,5 mL 氨性缓冲溶液和1-2滴铬黑T指示剂,摇匀。立即用EDTA溶液滴定至溶液呈纯蓝色为终点。记录所消耗EDTA溶液的体积,平行测定3次。
4)水样总硬度的测定
量筒量取100 mL水样于锥形瓶中,加5 mL三乙醇胺(若水样含有重金属离子,需加入5mL Na2S溶液),加入10 mL 氨性缓冲溶液及2-4滴铬黑T指示剂,摇匀,立即用EDTA标准溶液滴定至溶液由紫红色变为纯蓝色即为终点。记录所消耗EDTA溶液的体积,平行测定3次。
【实验数据记录及处理】
写出有关公式,将实验数据和计算结果填入表4-1和4-2。根据记录的实验数据分别计算出Ca2+标准溶液浓度、EDTA溶液的准确浓度和水的总硬度(以德国度表示),并计算三次测定结果的相对标准偏差。对标定结果要求相对标准偏差小于0.2%,对测定结果要求相对标准偏差小于0.3%。

【思考题】
1.水的总硬度测定时,加入缓冲溶液的作用是什么?当水的总硬度较大时,加入氨性缓冲溶液会出现什么情况?
2.什么样的水样应加入Mg2+- EDTA溶液,Mg2+- EDTA的作用是什么?对测定结果有无影响?
3. 掩蔽Al3+和Fe3+要在什么情况下加入,为什么?为什么掩蔽剂要在指示剂之前加入?
【相关知识链接】

实验五 铅、铋混合液中铅、铋含量的连续滴定(络合滴定法)
【实验目的】
1.掌握通过控制不同溶液酸度连续测定铅、铋离子的原理和方法。
2.掌握二甲酚橙指示剂的使用条件和确定终点的方法。
【主要试剂和仪器】
仪器:酸式滴定管;锥形瓶;容量瓶;移液管;烧杯;洗瓶。
试剂:ZnO(基准物质,在800 0C灼烧至恒重,然后放入干燥器内冷却后备用);乙二胺四乙酸二钠盐(EDTA);0.2%二甲酚橙(XO)水溶液;20%六亚甲基四胺[(CH2 )6N4]溶液(pH 5.5,称取200g溶于水,加入40 mL 浓盐酸,稀释至1L); 1:1 HCl溶液;0.1 moI·L-1 HNO3溶液;待测铅、铋试液(0.2mol·L-1,称取6.6 g Pb(NO3)2和9.7 g Bi(NO3)3于烧杯中,加入31 mL 0.1 moI·L-1 HNO3 溶液,加热使其完全溶解,稀释至1L)。
【实验原理】
Bi3+和Pb2+均可与EDTA形成稳定的1: 1型配合物,且彼此的稳定性差别很大(lgKBiY=27.94;lgKPbY=18.04,lgK=lgKBiY -lgKPbY =27. 9-18. 0=8. 9>5),因此有可能在Pb2+存在条件下选择适当的条件测定Bi3+。二甲酚橙(XO)在pH<6时呈黄色,与Bi3+和Pb2+均能形成紫红色配合物,且与Bi3+的配合物更稳定,因此可作为Bi3+与Pb2+连续滴定的指示剂。
本实验通过控制溶液酸度的方法在一份试液中连续滴定Bi3+与Pb2+。测定时先将试液酸度调节至pH≈1,此时由于EDTA和二甲酚橙的酸效应较大,EDTA和二甲酚橙均不与Pb2+反应,而Bi3+与两者反应;加入XO指示剂,此时溶液呈紫红色,然后用EDTA标准溶液滴定至试液颜色由紫红色经红色、橙色突变至亮黄色即为第一个终点,根据消耗EDTA标准溶液的体积及相关数据可计算出试样中Bi的含量。
在上述试液中加入六亚甲基四胺[(CH2 )6N4],调节试液pH值为5-6,此时试液中Pb2+与XO反应,形成紫红色配合物,继续用EDTA标准溶液滴定至试液颜色再次突变至亮黄色即为第二个终点,根据消耗EDTA标准溶液的体积及相关数据,可以计算出试样中Pb的含量。
为了使标定与测定在相同的实验条件下进行,采用ZnO基准物质标定EDTA溶液浓度,二甲酚橙为指示剂。测定在pH为5~6的六亚甲基四胺[(CH2 )6N4]缓冲溶液中进行,终点颜色变化与试液测定一致。
【实验步骤】
1.0.02 mol·L-1 EDTA标准溶液的配制与标定
1)0.02 mol·L-1 EDTA溶液的配制
在台秤上称量一定量的EDTA二钠盐固体于小烧杯中,加入约50 mL水,微热使其完全溶解后,冷却后转入500 mL 试剂瓶(如需保存,则用聚乙烯瓶)中,用水涮洗烧杯2~3次,并将涮洗液并入试剂瓶,继续加水至总体积约为500 mL,盖好瓶口,摇匀,贴上标签。
2)0.02 mol·L-l 的锌标准溶液的配置
准确称取一定质量(0.32- 0.42 g)ZnO于小烧杯中,加几滴水使其成糊状,逐滴递加3-5 mL
1:1 HCl,略为转动烧杯底,使试样完全溶解。将溶液定量转入250 mL容量瓶中,用水稀释至刻度,摇匀。
3)EDTA溶液的标定
用移液管准确移取25.00 mL Zn2+标准溶液于250 mL锥形瓶中,加入1-2滴二甲酚橙指示剂,逐滴滴加六亚甲基四胺溶液使试液呈现稳定的紫红色后,再过量加入5 mL六亚甲基四胺溶液。用EDTA溶液滴定至溶液由紫红色突变至亮黄色为终点。记录所消耗EDTA溶液的体积,平行测定3次。
2.Bi3+、Pb2+待测试液的测定
移取25.00 mL铅、铋待测试液于锥形瓶中,加入10 mL 0.1mol.L-1 HNO3溶液和1-2滴二甲酚橙指示剂,用EDTA溶液滴定至由紫红色突变至亮黄色即为第一终点,记录消耗EDTA溶液的体积V1 mL。
在上述滴定试液中,补加二甲酚橙指示剂1-2滴,逐滴滴加六亚甲基四胺溶液使试液呈现稳定的紫红色后,再过量加入5 mL六亚甲基四胺溶液。使溶液由亮黄色变为紫红色,继续用EDTA标准溶液滴定至由紫红色再次突变至亮黄色即为第二终点,记录消耗EDTA溶液的体积V2 mL。平行测定三次。
【实验数据记录及处理】
写出有关公式,将实验数据和计算结果填入表5-1和5-2。根据V1、V2及相关数据计算Zn2+标准溶液浓度、EDTA标准溶液浓度、待测试液中Bi3+、Pb2+的含量(以质量浓度P/g·L-1表示),并计算三次测定结果的相对标准偏差。对标定结果要求相对标准偏差小于0.2%,对测定结果要求相对标准偏差小于0.3%。


【思考题】
1.滴定Bi3+需控制溶液酸度pH≈l,若酸度过低或过高对测定结果有何影响?实验中是如何控制所需酸度的?
2.滴定Pb2+前要调节pH≈5,为什么用(CH2 )6N4而不使用强碱或氨水、乙酸钠等弱碱?(CH2 )6N4加入量过多或过少会对滴定产生什么影响?
【相关知识链接】

红棕色结晶性粉末。易吸湿。易溶于水,不溶于无水乙醇。水溶液为红色,酸性溶液中为柠檬黄色,金属络合物为鲜红色,碱性溶液中为红紫色。二甲酚橙作为指示剂常配成0.2%的水溶液使用。
672.66
pH>6.3时,它呈现红色;pH<6.3时,呈现黄色;pH=pKa=6.3时,呈现中间颜色。二甲酚橙与金属离子形成的配合物都是红紫色,因此它只适用于在pH<6的酸性溶液中
实验六 过氧化氢含量的测定(高锰酸钾法)
【实验目的】
1. 掌握高锰酸钾溶液的配制与标定方法。
2. 学习高锰酸钾法测定过氧化氢的原理和方法。
【简单原理】
市售KMnO4试剂中常含有少量MnO2和其他杂质,如硫酸盐、氯化物及硝酸盐等。同时,KMnO4氧化性强,易与存在于蒸馏水中的微量有机物作用,析出MnO2·nH2O沉淀,而二氧化锰能促进KMnO4自身分解,见光分解更快。因此,KMnO4溶液的浓度容易改变,不能用直接法配制准确浓度的KMnO4标准溶液。
KMnO4标准溶液的准确浓度可用As2O3、纯铁丝或Na2C2O4等基准物质标定。其中,Na2C2O4不含结晶水,性质稳定,易纯制,是标定KMnO4溶液最常用的一种基准物质,滴定反应式为
2MnO4-+5C2O42-+16H+=2Mn2++10CO2↑+8H2O
滴定时利用MnO4-本身的紫红色指示滴定终点(见附注)。
在稀硫酸溶液中,H2O2在室温下能定量、迅速地被高锰酸钾氧化,因此,可用高锰酸钾法测定其含量,有关反应式为
2MnO4-+5H2O2+6H+=2Mn2++5O2 ↑+8H2O
该反应在开始时比较缓慢,滴入的第一滴KMnO4溶液不容易褪色,待生成少量Mn2+后,由于Mn2+的催化作用,反应速度逐渐加快。化学计量点后,稍微过量的KMnO4(约10-6 mol/L)使溶液呈现微红色指示终点的到达。根据KMnO4标准溶液的浓度和滴定所消耗的体积,可算出试样中H2O2的含量。
若H2O2试样中含有乙酰苯胺等稳定剂,则不宜用KMnO4法测定,因为此类稳定剂也消耗KMnO4。这时可采用碘量法测定,利用H2O2与KI作用析出I2,然后用标准硫代硫酸钠溶液滴定生成的I2。
【实验用品】
试剂:Na2C2O4基准试剂:在105-115℃下烘干2h备用;3mol·L-1H2SO4溶液;0.02mol·L-1KMnO4溶液;3%H2O2溶液:市售30% H2O2稀释10倍而成,贮存在棕色试剂瓶中。
仪器: 50mL酸式滴定管;250mL锥形瓶;25.00mL、10.00mL移液管;烧杯;250 mL容量瓶;洗瓶;500mL试剂瓶;量筒;电子天平;台秤;表面皿;玻璃棒;滴管;橡皮洗耳球;微孔玻璃漏斗;电加热板;水浴装置。
【实验内容】
1.0.02mol· L-1 KMnO4溶液的配制
称取KMnO4固体约1.6g溶于500mL水中,盖上表面皿,加热至沸并保持微沸1h,冷却后用微孔玻璃漏斗(3号或4号)过滤。滤液贮存于具塞棕色瓶中,室温下静置2~3天后过滤备用。
2.用Na2C2O4 标定KMnO4溶液
准确称取0.13~0.17g Na2C2O4三份,分别置于250mL锥形瓶中,加水50mL使其溶解,加入l0mL 3mol· L-1 H2SO4溶液,在水浴上加热至75~85℃(刚开始冒蒸气时的温度),趁热用待标定的KMnO4溶液滴定,开始时滴加速度应慢,待溶液中产生了Mn2+后,滴定速度可适当加快,但仍需逐滴加入,加至溶液呈现微红色并持续保持30s不褪色即为终点。
根据每份滴定中Na2C2O4的重量和消耗的KMnO4溶液体积,计算出KMnO4溶液的浓度。
3.H2O2含量的测定
用移液管吸取10.00mL 3%H2O2,置于250mL容量瓶中,加水稀释至刻度,充分摇匀。用移液管移取25. 00mL溶液置于锥形瓶中,加20mL水;10mL 3mol· L-1 H2SO4,用KMnO4标准溶液滴至微红色,并在30s内不褪色即为终点。
写出有关公式,计算出H2O2的质量体积百分含量,并计算三次测定结果的相对标准偏差。对标定结果要求相对标准偏差小于0.2%,对测定结果要求相对标准偏差小于0.3%。
【附注】
MnO4-与C2O42-反应的注意事项:三度一点
三度:反应温度:70-80℃;温度低则反应慢;温度高则H2C2O4分解。
反应酸度:强酸性介质(硫酸介质)。若酸度过低则MnO4-被还原为MnO2;酸度高则H2C2O4分解。
滴定速度:先慢后快再慢。一开始滴定速度要慢,否则MnO4-会分解:
4MnO4-+ 12 H+ =4Mn2++5 O2↑+6H2O
随着反应进行,生成的Mn2+是反应的自催化剂,可催化反应速度加快,临近滴定终点,反应速度接着放慢。
一点:滴定终点:滴定终点颜色出现半分钟不褪色即为终点到达,放置时间长过量的MnO4-会被空气中是还原性物质氧化而使颜色褪去。
【实验习题】
1.配制KMnO4溶液应注意些什么?用基准物质Na2C2O4标定KMnO4时,应在什么条件下进行?
2.用KMnO4法测定H2O2含量时,能否用HNO3、HCI或HAc来调节溶液酸度?为什么?
用KMnO4法测定H2O2含量时,能否在加热条件下滴定?为什么?
【参考文献】
[1]武汉大学化学与分子科学扑克游戏 实验中心, 2013, 分析化学实验.武汉: 武汉大学出版社.
[2]黄朝表, 潘祖亭, 2013, 分析化学实验. 北京: 科学出版社.
实验七 注射液中葡萄糖含量的测定(碘量法)
【实验目的】
1.掌握碘标准溶液、Na2S2O3的配制、保存及标定方法。
2.掌握间接碘量法测定葡萄糖含量的方法和原理。
【主要试剂及仪器】
试剂:KI固体;10%KI溶液; Na2S2O3标准溶液(0.1 mol・ L-l):称取13 g Na2S2O3·5H2O溶于500 mL新煮沸且刚冷却的蒸馏水中,加入约0.1g的Na2CO3; HCl溶液(6 mol・ L-l);NaOH溶液(0.2 mol・ L-l);葡萄糖注射液(0. 50%);K2Cr2O7标准溶液;淀粉溶液(0.5%):称取0.5 g可溶性淀粉,用少量水调成糊状,慢慢加入到100 mL沸腾的蒸馏水中,继续煮沸至溶液透明为止。
仪器:50mL碱式滴定管,25.00mL移液管,100mL烧杯,250.00mL容量瓶
【实验内容】
碘量法是氧化还原滴定中常用的测定方法之一,在碘量法中,常用的两种试剂I2和Na2S2O3。纯I2可以作为基准物质使用,按照直接法来配制标准溶液。
碘量法均采用淀粉溶液指示终点,本实验使用的是间接碘量法,使碘与淀粉形成的蓝色物质颜色褪去作为滴定终点的达到,指示剂应该在临近终点时加入。
碱性溶液中,I2可歧化成IO-和I-,IO-能定量地将葡萄糖(C6H12O6)氧化成葡萄糖酸( C6H12O7),未与C6H12O6作用的IO-进一步歧化为IO3-和I-,溶液酸化后,IO3-又与I-作用析出I2,用Na2S2O3标准溶液滴定析出的I2,由此可计算出C6H12O6的含量,有关反应式如下:
I2的歧化:I2 +2OH- =IO- +I- +H2O
C6H1206和IO-定量作用:C6H12O6+IO- =I-+ C6H12O7
总反应式:I2+C6H12O6 +2OH -= C6H12O7 +2I-+ H2O
C6H12O6作用完后,剩下未作用的IO-在碱性条件下发生歧化反应:
3IO-= IO3- +2I-
在酸性条件下:IO3- +51- +6H+ =3I2 +3H2O
析出过量的I2可用标准Na2S2O3溶液滴定:I2 +2S2O32- =2I-+ S4O62-
由以上反应可以看出一分子葡萄糖与一分子NaIO作用,而一分子I2产生一分子NaIO,也就是一分子葡萄糖与一分子I2相当。由此可以作为定量计算葡萄糖含量的依据。
【实验步骤】
1.0.017mol・L-lK2Cr2O7溶液的配制:电子天平上称量1.25-1.5g K2Cr2O7于小烧杯中,溶解定容于250mL容量瓶中。
2.0.05 mol·L-l I2标准溶液的配制和浓度测定
(1)配制:称取3.2 g I2于小烧杯中,加6 g KI,先用约30 mL水溶解,待I2完全溶解后,稀释至250 mL,摇匀,贮于棕色瓶中,放至暗处保存。
(2)标定Na2S2O3溶液:
移取25.00 mL 0.017mol・ L-lK2Cr2O7溶液于250mL锥形瓶中,加入10mL 10% KI溶液和5mL 6mol・ L-lHCl (注意:不可三份同时加入),用表面皿盖上瓶口,摇匀,于暗处放置5min。取出后,加入50-100mL蒸馏水(稀释的原因是降低酸度,可减少溶液中过量I-被氧化的速度;避免Na2S2O3的分解反应;且减弱Cr3+绿色的影响),立刻用需标定的Na2S2O3溶液滴定至试液为黄绿色(为什么),加入2mL淀粉溶液(避免较多的I2于淀粉结合),继续滴定至蓝色消失(溶液为亮绿色),即为终点,记录所消耗滴定剂的体积,平行测定3次,求出Na2S2O3溶液浓度。
(3)I2标准溶液的浓度测定:
移取25.00 mL I2溶液于250 mL锥形瓶中,加50 mL蒸馏水稀释,用已标定好的Na2S2O3标准溶液滴定至溶液呈浅黄色,再加入2 mL淀粉溶液,继续滴定至蓝色刚好消失即为终点。记下消耗的Na2S2O3溶液体积。平行测定3份,计算I2溶液的浓度。
3.葡萄糖含量的测定
移取10.00 mL 稀释后的葡萄糖注射液(0.5%)于250 mL锥形瓶中,准确加入0.05 mol· L-l I2标准溶液25.00 mL(记录准确读数),慢慢滴加2mol· L-l NaOH (如果滴加NaOH过快,就会使生成的IO-来不及氧化葡萄糖就发生了歧化反应,生成了不与葡萄糖反应的I-和IO3-, 使测定结果偏低),边加边摇,直至溶液呈淡黄色。用小表面皿将锥形瓶盖好,放置10 ~ 15 min.然后加2 mL 6 mol· L-lHCl使溶液成酸性,并立即用Na2S2O3溶液滴定,至溶液呈浅黄色时,加入淀粉指示剂2 mL,继续滴至蓝色刚好消失即为终点,记下滴定读数。平行滴定3份,计算葡萄糖的含量。
【实验数据记录及处理】
写出有关公式,将实验数据和计算结果填入表7-1、7-2和7-3。根据滴定所消耗的体积分别计算Na2S2O3溶液、I2标准溶液的浓度和葡萄糖含量,并计算三次测定结果的相对标准偏差。对标定结果要求相对标准偏差小于0.2%,对测定结果要求相对标准偏差小于0.3%。

注意事项:Na2S2O3溶液滴定I2标准溶液至终点,试液放置5-10 min会变蓝,这是由于溶液中过量I-被空气氧化的缘故。如滴定后试液变蓝且不断加深,则说明Cr2O72-与I-的反应不完全,稀释溶液过早,应重做。
【思考题】
1.配制I2溶液时为何加入KI? 为何要先用少量水溶解后再稀释至所需体积?
2.为什么在氧化葡萄糖时加碱的速度要慢,且加完后要放置一段时间,而在酸化后要立即用Na2S2O3滴定?
【相关知识链接】
Na2S2O3标准溶液(0.1 mol・ L-l):
硫代硫酸钠(Na2S2O3·5H2O)一般都含有少量S、Na2SO4、Na2CO3及NaCl等杂质,同时还容易风化和潮解,通常先配制近似浓度的Na2S2O3溶液,用间接碘法来标定Na2S2O3溶液的浓度。 Na2S2O3溶液不稳定,容易与空气中的氧气、水中的CO2作用,以及微生物作用分解,导致浓度的变化。因此需用新煮沸后冷却好的蒸馏水配制;配好的Na2S2O3溶液应贮于棕色瓶中,放置暗处,长时间不用应重新进行标定。
Na2S2O3不能用直接配制法配制的主要原因是:
(1)细菌或微生物的作用:S2O32- = S+ SO32-
(2)水中CO2的作用:S2O32-+ CO2+H2O= HSO3-+ S + HCO3-
(3)空气的氧化作用:2S2O32-+ O2=2SO42-+ 2S
葡萄糖的结构

I2标准溶液的配制:
I2微溶于水中,一般在配制I2标准溶液时常将I2溶解于KI溶液中,由于溶解度大大增加,使得I2的挥发性大为减小,配好的I2标准溶液应储存于棕色玻璃瓶中,置冷暗处保存,防止I2的升华。
实验八 可溶性氯化物中氯含量的测定(莫尔法)
【实验目的】
1.学习AgNO3标准溶液的配制和标定。
2.掌握莫尔法测定氯的原理和方法。
【主要试剂和仪器】
试剂:NaCl基准试剂:使用前在500~600℃灼烧30 min,置于干燥器中冷却。AgNO3化学纯。K2CrO4溶液5%。NaCl试样:粗食盐。AgNO3溶液。
仪器:电子天平,250mL烧杯,250mL锥形瓶,500mL烧杯,25mL移液管,250mL容量瓶,洗瓶,酸碱滴定管,胶头滴管,玻璃棒,镊子,烘箱,称量瓶,50mL小烧杯。
【实验原理】
可溶性氯化物中氯含量的测定常采用莫尔法,此方法是在中性或弱碱性溶滚中,以K2CrO4为指示剂,用AgNO3标准溶液进行滴定。Ag+先与Cl-生成白色沉淀,过量一滴AgNO3溶液即与指示剂CrO42 -生成Ag2CrO4砖红色沉淀,指示终点,主要反应如下:
Ag+ +Cl-= AgCI↓(白) Ksp=1.8×10-10
2Ag+ + CrO42 -= Ag2CrO4↓(砖红) Ksp=2.0×10-12
最适宜的pH范围是6.5~10.5,如有NH4+存在,则pH需控制在6.5~7.2之间。
指示剂的用量对滴定有影响,一般以5×10-3 mol・ L-l为宜。有时须作指示剂的空白校正,取2 mL K2 CrO4溶液,加水100 mL,加与AgCl沉淀量相当的无Cl-的CaCO3,以制成和实际滴定相似的浑浊液,滴入AgNO3溶液至与终点颜色相同。
能与Ag+生成沉淀或与之配位的阴离子都干扰测定;能与指示剂CrO42-生成沉淀的阻离子也干扰测定;大量的有色离子将影响终点观察;易水解生成沉淀的高价金属离子也干扰测定。
【实验步骤】
1.0.02 mol・L-lNaCl标准溶液的配制
准确称取0.23~0.35g基准试剂NaCl于小烧杯中,用蒸馏水溶解后,转移至250mL容量瓶中,稀释至刻度,摇匀,定容。
2.0.02 mol・L-l AgNO3溶液的配制及标定
称取1.7 g AgNO3,溶解于500 mL不含Cl-的蒸馏水中,贮于带玻璃塞的棕色试剂瓶中,放置暗处保存。
准确移取NaCl标准溶液25.00 mL于250 mL锥形瓶中,加水25 mL,5% K2CrO4 1 mL,在不断摇动下,用AgNO3溶滚滴定至溶液出现砖红色沉淀,即为终点。平行测定3份,计算AgNO3溶液的准确浓度。
3.氯含量的测定
准确称取0.25~0.30g NaCl试样于小烧杯中,加水溶解后,定容于250 mL容量瓶中。
准确移取25.00 mL NaCl试液于250 mL锥形瓶中,加水25 mL,5% K2CrO4 1mL断摇动下,在不断摇动下,用AgNO3标准溶液滴定至溶液出现砖红色沉淀,即为终点。平行测定3份,计算试样中氯含量。
实验结束后,盛装AgNO3的滴定管应先用蒸馏水冲洗2~3次,再用自来水冲洗,以免产生AgCl沉淀,难以洗净。含银废液应予以回收,不得随意倒入水槽。


【思考题】
1. K2CrO4指示剂的浓度太大或太小,对测定Cl-有何影响?
2.莫尔法测Cl-时,溶液的pH应控制在什么范围?为什么?
3.滴定过程中为什么要充分摇动溶液?
【相关知识链接】
沉淀滴定法中常用的银量法的一种滴定终点的确定方法。在含有Clˉ的中性或弱碱性溶液中,以K2CrO4作指示剂,用AgNO3标准溶液滴定Clˉ。由于AgCl的溶解度比K2CrO4小,根据分步沉淀原理,溶液中实现析出AgCl白色沉淀。当AgCl定量沉淀完全后,稍过量的Ag+与CrO4ˉ生成砖红色的Ag2CrO4沉淀,从而指示站点的到达。除莫尔法之外,还有佛尔哈德法和法扬司法。
实验九 考试实验
未知浓度HCl 或NaOH 溶液的滴定,待定



实验教学